Abstract
Background: Multiple Myeloma (MM) patients are immune-deficient and mount suboptimal immune responses to SARS-CoV-2 mRNA vaccine, making them more susceptible to severe COVID-19 manifestations. We have previously described that MM patients undergoing certain therapies have compromised humoral immune responses even after receiving multiple doses of the SARS-CoV-2 mRNA vaccine (Aleman, et al. Cancer Cell 2022). However, the mechanisms underlying the suboptimal antibody responses observed in these patients are not understood. Emerging research suggests that specific cell populations within the immune milieu, such as Follicular helper (TFH) CD4+ T cells, help B cells mount a robust serological response (Cui, et al. 2021). In addition, Natural Killer (NK) cells have been known to play a protective role in SARS-CoV-2 infection (Fuentes-Villalobos, et al. 2022). We report here on the cellular immune composition highly associated with suboptimal humoral immune responses in MM patients.
Methods: We longitudinally followed 31 MM patients with variable serological responses after receiving SARS-CoV-2 vaccination, as determined by quantification of anti-spike IgG antibody titers, and compared to 13 age matched healthy donors. We categorized patients based on their production of anti-spike IgG post full vaccination of two doses. Of our selected cohort, 14 patients had failed to produce detectable anti-spike IgG (MM sub-optimal), whereas the other 17 MM patients had detectable anti-spike IgG (MM within detectable range). We analyzed samples collected post second dose and post third dose of COVID-19 vaccine using high dimensional spectral flow cytometry to elucidate immune phenotypic differences. Data and sample collection for this study was approved by the institutional review board (IRB) and follows the Declaration of Helsinki and International Conference on Harmonization Guidelines for Good Clinical Practice (IRB: GCO#: 16-00791 (MM patients) & GCO #: 20-03374 (PARIS).
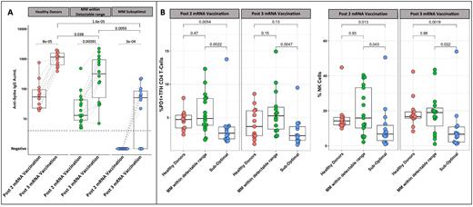
Results: We compared spike binding antibody responses pre and post third vaccine dose in our MM and control cohorts. While the third dose of mRNA vaccine resulted in a robust increase in anti-spike IgG for the majority of patients, the serological response in MM patients remained significantly lower (p<0.05) as compared to healthy controls (Figure 1A). The sub-optimal MM patient group had the lowest serological response, with 28% (4/14) of the patients showing no detectable anti-spike IgG levels post third booster vaccination. MM patients with sub-optimal responses did not have an increased incidence of lymphopenia or difference of absolute B cell and T cell counts. Further examination, however, revealed noticeable differences in TFH and NK cell populations. Sub-optimal MM patients showed a significantly lower prevalence of PD1+CXCR5+ TFH cells (p<0.01), as compared to MM patients within detectable serological range both pre and post third vaccination (Figure 1B). PD1+CXCR5+ TFH cells are associated with higher levels of anti-spike IgG neutralizing antibodies (Cui, et al. 2021). In addition, sub-optimal MM patients showed significantly fewer NK cells (p<0.05) when compared to MM patients within detectable serological range and healthy donors (Figure 1B). NK cell subset analysis in the sub-optimal MM patient group revealed a high prevalence of immature NK cell subsets (CD16-/dimCD56hi) (p<0.01), whereas MM patients within serological range and healthy donors showed a dominant mature cytolytic NK cell subset (CD16hiCD56dim). Half of the sub-optimal MM patients were on anti-CD38 monoclonal antibody therapy (7/14) compared to those mounting efficient responses (11%, 2/17), which we have previously described as affecting anti-spike IgG production and depleting NK populations.
Conclusion: We describe here that significantly reduced numbers of CD4+ TFH and NK cells is associated with sub-optimal serological responses to SARS-COV-2 mRNA vaccination in MM patients. The distinct phenotype observed in our sub-optimal MM patient cohort could be a product of their pre-existing immune composition, the nature of their disease progression, or in response to ongoing therapies. Our data suggests that longitudinal immunophenotyping may identify vulnerable MM patients that may need additional vaccinations or prophylactic intervention, such as monoclonal antibody therapies.
Disclosures
Cordon-Cardo:Kantaro: Patents & Royalties. Krammer:Pfizer: Honoraria, Research Funding; Seqirus: Honoraria; Avimex: Honoraria. Jagannath:Takeda: Consultancy; Karyopharm: Consultancy; Janssen Pharmaceuticals: Consultancy; BMS: Consultancy; Legend Biotech: Consultancy; Sanofi: Consultancy. Simon:Kantaro: Patents & Royalties.
Author notes
Asterisk with author names denotes non-ASH members.

This feature is available to Subscribers Only
Sign In or Create an Account Close Modal